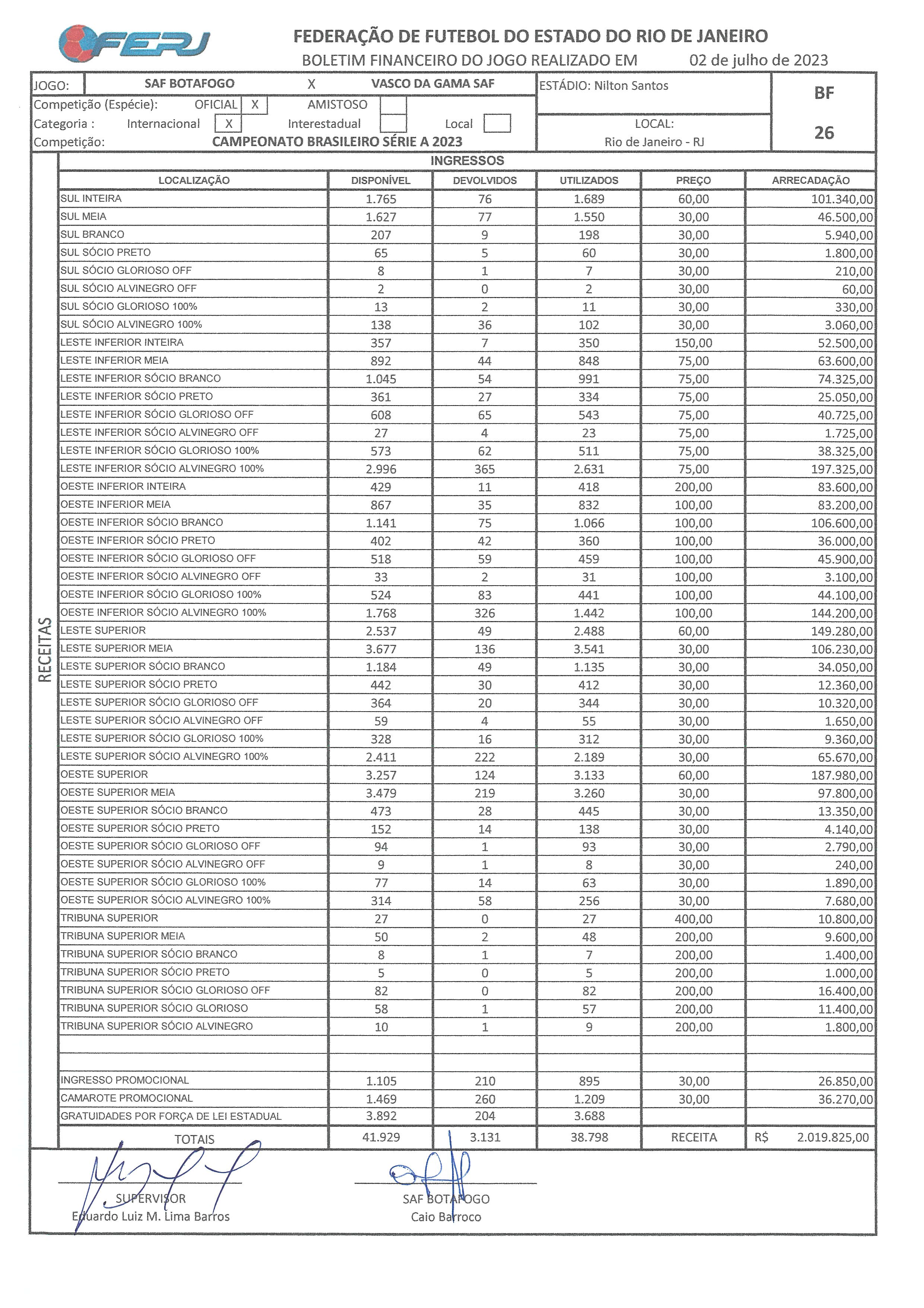
O Botafogo lucrou R$ 616.479,00 com bilheteria no clássico contra o Vasco no último domingo (2/7), no Estádio Nilton Santos, segundo os números do borderô divulgado no site da CBF. O valor representa 30,5% da renda de R$ 2.019.825,00, a maior do clube em 2023.
O percentual considerado baixo tem muito a ver com a nova regra da CBF, que passou a obrigar que os clubes deduzam no borderô os descontos dos ingressos destinados aos sócios-torcedores. No clássico, essa “despesa” foi de aproximadamente R$ 777 mil.
Segundo os números, 14.822 sócios-torcedores do Botafogo comparecem ao clássico nas arquibancadas, número que corresponde a cerca de 42,2% do público total.
Outras despesas que pesaram na conta foram a com a operação do estádio (R$ 243,5 mil aproximadamente), segurança (quase R$ 80 mil) e com a taxa da Ferj (quase R$ 98 mil).
O clássico, vencido pelo Botafogo por 2 a 0, teve torcida única e, mesmo com o setor Norte fechado por conta do palco do show da cantora Ludmilla, registrou 35.110 pagantes (9º maior público do clube na história do estádio) e 38.798 presentes (maior marca desde 2017).
📋 Borderô de Botafogo 2 x 0 Vasco:

