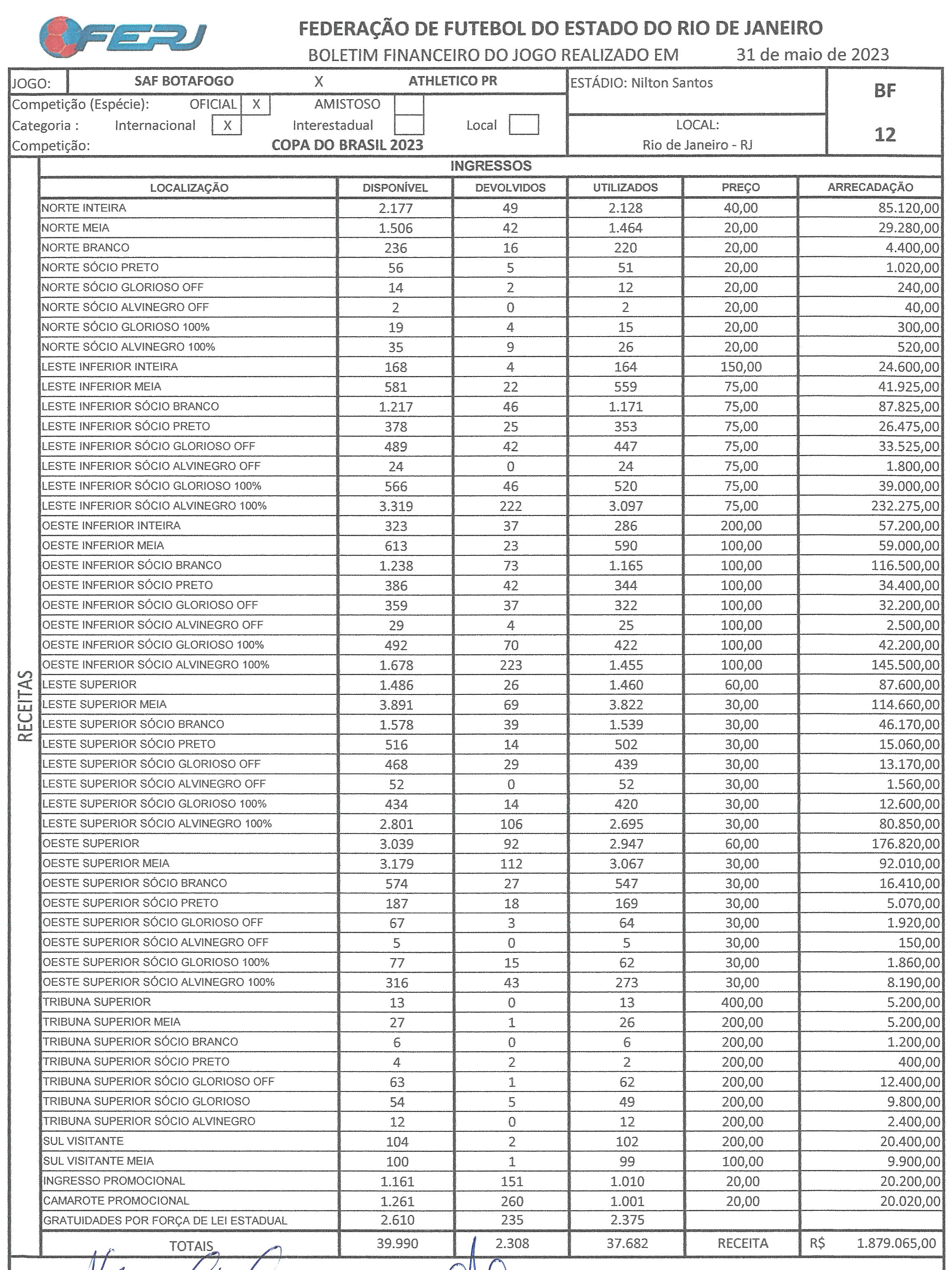
O Botafogo teve um lucro de R$ 592,8 mil com a bilheteria do jogo contra o Athletico-PR, na última quarta-feira (31/5), no Estádio Nilton Santos, pelas oitavas de final da Copa do Brasil-2023. O valor corresponde a aproximadamente 31,5% da renda total da partida, de quase R$ 1,9 milhão.
É importante ressaltar que, a partir deste ano, os clubes precisam deduzir nos borderôs o valor referente a descontos nos ingressos para sócios-torcedores. Neste jogo em específico, o valor relatado pelo Botafogo foi de R$ 614.279,00.
Desta forma, tirando a chamada “despesa sócio-torcedor“, o Glorioso teria tido um lucro total de R$ 1.207.079,35. Dos 35.106 pagantes alvinegros, 16.569 foram sócios-torcedores segundo apontado no borderô – o que representa 47,2% do total.
O jogo de quarta-feira teve no total 37.682 torcedores presentes, sendo 35.307 pagantes, entrando no Top 10 da história do Botafogo no Niltão. Foi também o maior público do Glorioso no estádio desde 2017.
E o Athletico-PR, hein?
O Athletico-PR contou apenas com 201 torcedores no setor Sul, reservado para os visitantes e que tem capacidade para cerca de 4 mil pessoas, segundo mostra o borderô. No jogo de ida, na Arena da Baixada, foram 986 torcedores do Botafogo no setor visitante.
📝 Borderô de Botafogo 1 x 0 Athletico-PR:

